工业自动化设备传动及工控产品的技术、销售、服务为一体

{xiao:$title

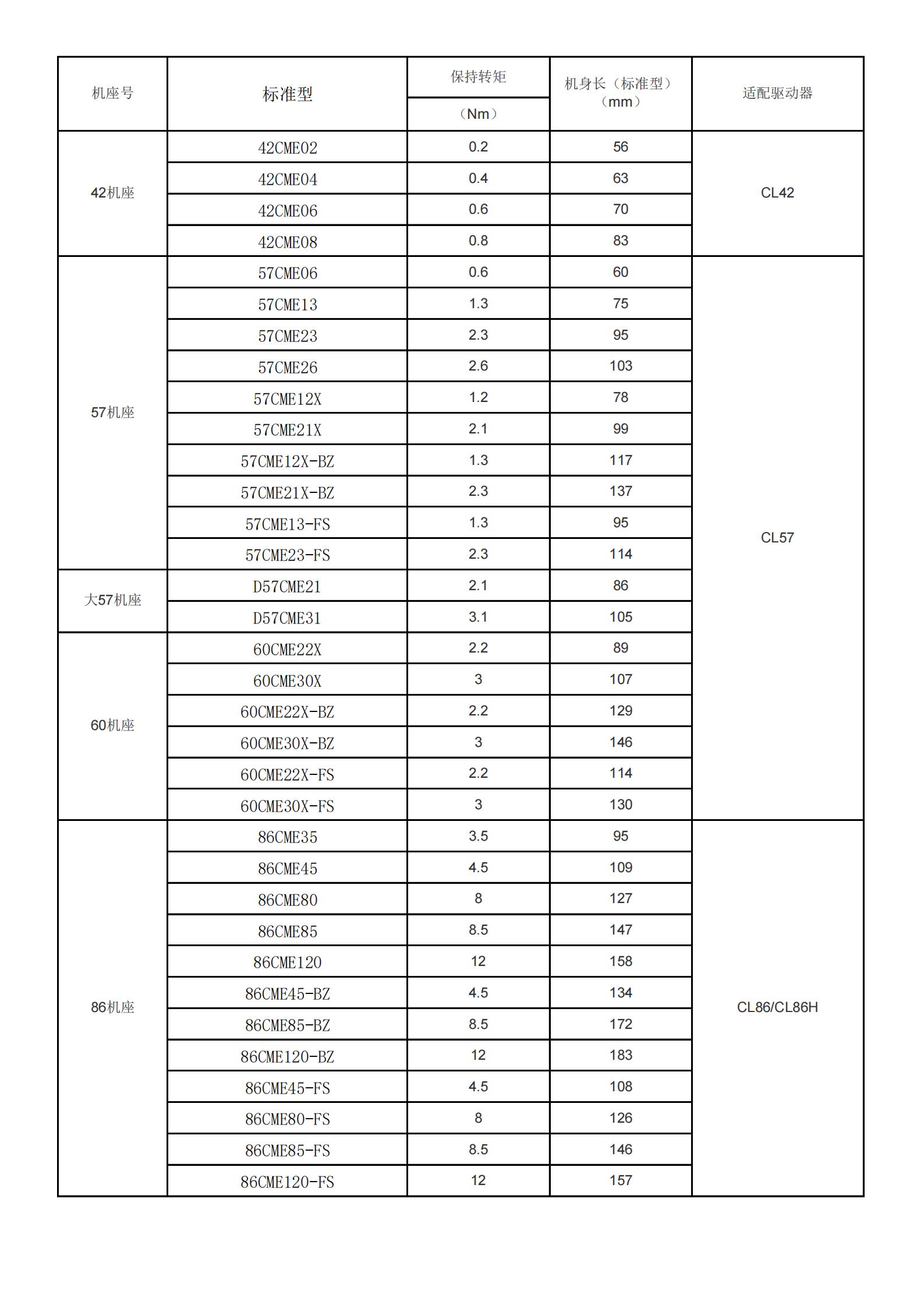
CME闭环步进电机


苏州富誉信机电科技有限公司

联系人:王海青

手机:15950190390

微信:15950190390

QQ:1506977572

邮箱:1506977572@qq.com

地址:江苏省昆山市玉山镇新南中路567号

1721797773794237.jpg

CME型号说明.jpg

CME步进电机和驱动器适配一览表